Oslobođenje ekskluzivno: Pogledajte još jedan lobistički ugovor Dodikovog režima

U Istočnom Sarajevu, 24. aprila 2025. godine, predsjednik bosanskohercegovačkog entiteta RS Milorad Dodik svečano je otvorio zgradu Rektorata i Muzičke akademije Univerziteta u Istočnom Sarajevu/Damir Deljo
Novi lobistički ugovor Dodikovog režima
Nastavak vijesti ispod promo sadržaja

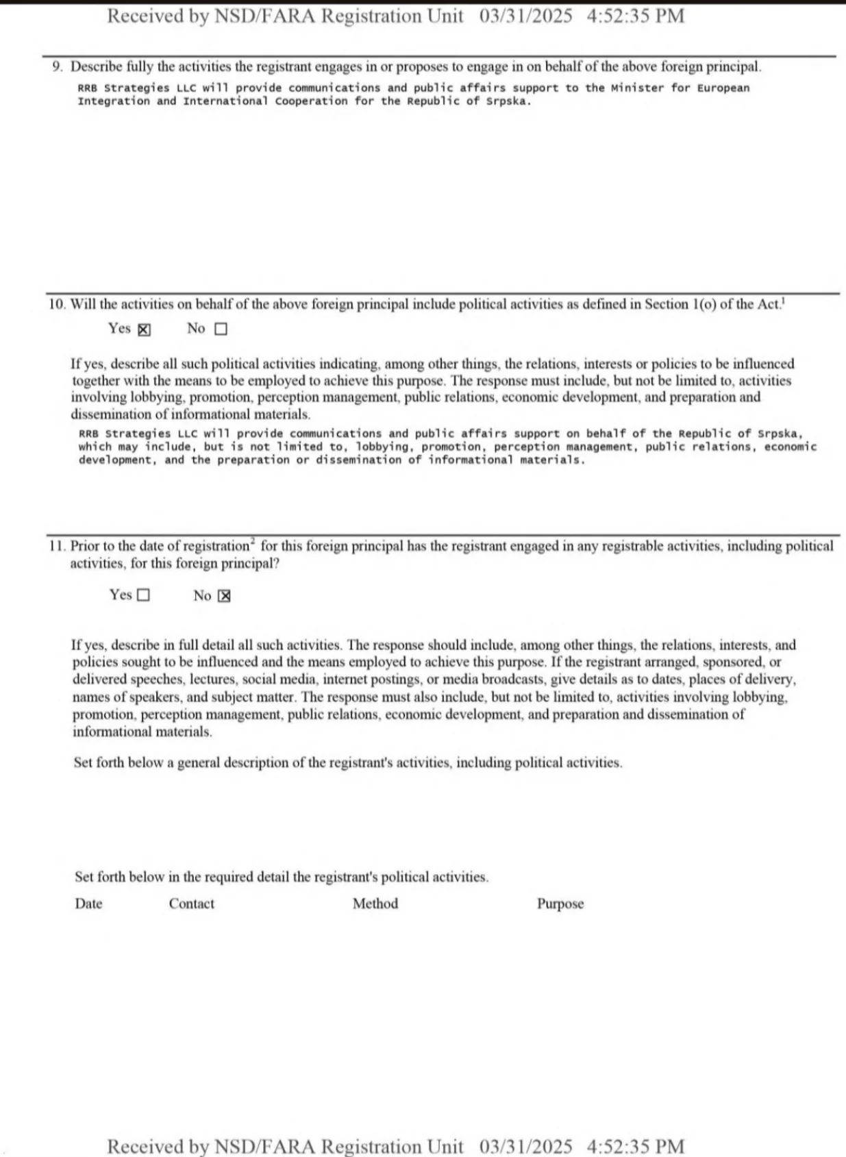
Aktuelni ministar za evropske integracije i međunarodnu saradnju u Vladi RS Zlatan Klokić, potpisao je u ime ovog entiteta 27. marta 2025. godine ugovor sa lobističkim kućom RRB STRATEGIES LLC o lobističkim aktivnostima koje se tiču, između ostalog, rada na zatvaranju Ureda visokog predstavnika u BiH, ali i uticaja na odluke koje bi NATO savez mogao donijeti po pitanju BiH.

U ime lobističke kuće ugovor je, kao direktor, potpisao Rod Blagojević, kojeg je Dodik već više puta predstavio kao lobistu u SAD-u za interese entiteta Republika Srpska.

U ugovoru se na početku navodi da se sa zadovoljstvom podnosi prijedlog za zastupanje u oblasti javnih i vladinih poslova prema Republici Srpskoj. Dodaje se još da historijski izbor predsjednika Donalda Trumpa predstavlja priliku da se izgradi snažan bilateralni odnos zasnovan na pitanjima od zajedničkog interesa.

- Guverner Rod Blagojević će služiti u ulozi višeg savjetnika za kampanju. U svojoj jedinstvenoj poziciji bivšeg guvernera pete najveće američke savezne države, kao i bivšeg trostrukog člana Kongresa Sjedinjenih Američkih Država, guverner Blagojević ima neposredno iskustvo u funkcionisanju vlade. Pobjedivši na svih 14 izbora na kojima je učestvovao, guverner Blagojevich posjeduje dokazanu stručnost u zagovaranju pitanja i izgradnji uspješnih političkih koalicija podrške, navodi se u ugovoru kojeg čini nekoliko poglavlja.

1. Medijske kampanje:

Nastavak vijesti ispod promo sadržaja

- Objavljivanje članaka koji ističu političke motive iza pravnih postupaka protiv predsjednika Dodika i drugih zvaničnika Republike Srpske.

- Medijske izjave odmah po potpisivanju ugovora i lobiranje kod više državnih predstavnika da objave upozorenja na svojim društvenim mrežama o situaciji u BiH.

2. Lobistički napori:

- Najviši prioritet: Lobiranje kod državnih predstavnika da spriječe ono što se smatra "lovom na vještice" protiv zvaničnika Republike Srpske.

- Uključivanje međunarodnih saveznika da daju povoljne izjave u prilog poštovanja Dejtonskog sporazuma od strane Republike Srpske.

Nastavak vijesti ispod promo sadržaja

- Zagovaranje protiv postupaka visokog predstavnika Christiana Schmidta koji mogu kršiti Dejtonski sporazum i Ustav Bosne i Hercegovine.

3. Diplomatske inicijative:

- Kampanja za uklanjanje nelegalno imenovanog visokog predstavnika koji nije potvrđen od strane Vijeća sigurnosti UN-a.

- Traženje ukidanja sankcija nametnutih zvaničnicima Republike Srpske.

- Rad na osiguranju povratka svih nadležnosti Republici Srpskoj, kako je zagarantovano Dejtonskim sporazumom.

Nastavak vijesti ispod promo sadržaja

4. Kulturno i vjersko zagovaranje:

- Promovisanje politika koje štite prava i slobode hrišćana u Bosni i Hercegovini, osiguravajući da budu slobodni od pritisaka od strane bošnjačkih muslimana i globalističkih entiteta.

5. Vojne i institucionalne strategije:

- Lobiranje da NATO snage ne prekorače granice svojih ovlasti i jurisdikcije.

- Zagovaranje uklanjanja Ureda visokog predstavnika (OHR) iz Bosne i Hercegovine.

Nastavak vijesti ispod promo sadržaja

Među ciljevima su navedeni kratkoročni, srednjoročni i dugoročni.

Kratkoročni (3 mjeseca):

- Uspostaviti i održavati intenzivne i lične kontakte sa visokopozicioniranim donosiocima odluka unutar State Departmenta.

- Raditi na minimiziranju ili okončanju negativne kampanje protiv predsjednika Dodika i svih zvaničnika i institucija Republike Srpske.

Srednjoročni (6 mjeseci):

Nastavak vijesti ispod promo sadržaja

- Raditi na priznavanju predsjednika Dodika i svih zvaničnika i institucija Republike Srpske kao pravih branilaca Dejtonskog mirovnog sporazuma i Ustava BiH i RS.

- Lobirati kod State Departmenta da zahtijeva od bošnjačkih političkih predstavnika da priznaju predsjednika Dodika i institucije Republike Srpske kao legitimne partnere u svim procesima u BiH.

- Raditi na osiguranju povratka svih nadležnosti Republici Srpskoj, kako je zagarantovano Dejtonskim sporazumom.

Dugoročni (12 mjeseci):

- Raditi na ukidanju i poništavanju sankcija protiv predsjednika Dodika, njegove porodice i drugih predstavnika Republike Srpske.

- Raditi na samoopredjeljenju naroda Republike Srpske i konačnom ukidanju neizabranog položaja OHR-a.

- Raditi na podsticanju pravnih postupaka protiv njemačkog diplomate Christiana Schmidta zbog nelegalnog zauzimanja pozicije visokog predstavnika u BiH.

Cijena ugovora je zatamnjena, ali se navodi da se predlaže mjesečni honorar za početnih 12 mjeseci usluge, uz razumne troškove, da prva uplata treba stići pri potpisivanju ugovora,a tri dodatne uplate na početku 4, 7. i 9. mjeseca ugovora.

Razumni troškovi za putovanja, pravnu usklađenost itd. fakturiraju se kvartalno.

Lobistički ugovor RS-a/

/

Lobistički ugovor RS-a/

/

Lobistički ugovor RS-a/

/

Lobistički ugovor RS-a/

/

Lobistički ugovor RS-a/

/

Lobistički ugovor RS-a/

/

Lobistički ugovor RS-a/

/

Lobistički ugovor RS-a/

/

Lobistički ugovor RS-a/

/

Lobistički ugovor RS-a/

/

Lobistički ugovor RS-a/

/

Lobistički ugovor RS-a/

/